
f-求和规则(f-sum rule)是量子多体物理中一个非常重要的概念,它为我们提供了一个将系统的响应函数与守恒量直接关联工具。在不同的物理体系中,这一规则都被广泛应用,尤其是在光学、固体物理和凝聚态物理的研究中。要理解f-求和规则,首先要回顾线性响应理论的基本思想。在线性响应理论中,当一个量子系统受到外部微扰时,系统的响应可以通过线性化的方式与外部场的强度联系起来。通常,这个外部微扰可以是一个电场、磁场或....

近日,yl7703永利集团官网物理学系程鹏副教授课题组发现一种具有全新晶体结构的新型磁性二维材料FePd2Te2,并与程志海教授课题组、中科院强磁场科学中心郑国林研究员团队和衢州公司杨建辉教授合作对其结构与物性进行深入研究,发现FePd2Te2是一个非常少见的具有面内单轴各向异性的二维铁磁金属,并在一种特殊孪晶结构作用下形成了有趣的面内自旋纹理结构。相关研究成果以“FePd2Te2: An Anisotropic Two-Dimensional Ferromagnet with...

yl7703永利集团官网物理学系、量子态构筑与测控教育部重点实验室刘灿副教授与北京大学刘开辉教授、中国科公司物理研究所张广宇研究员等团队合作,首次提出“晶格传质-界面外延”材料制备新范式,实现了层数及堆垛结构可控的菱方相二维叠层单晶的通用制备。该材料在电学上达到国际器件与系统路线图(IRDS)的2028年半导体器件迁移率目标要求,在光学上实现近红外波段超薄高能效光学晶体频率转换。2024年7月5日,相关成果以“多层菱方相...

近日,yl7703永利集团官网物理学系季威研究组与华中科技大学付英双研究组等组成合作团队,在Sb2O3团簇晶体薄膜中,发现了位于团簇间隙位置的范德瓦尔斯极化子(vdW polaron),揭示了受限电子与局域晶格畸变耦合稳定范德瓦尔斯极化子的机制,展示了以可控方式产生、移动和擦除单个极化子的能力。该研究发现了一种新的极化子类型,提供了一种在原子尺度上操纵单个电子的可行途径。相关研究成果以“Discovery and Manipulation of van der...

近日,yl7703永利集团官网王伟民教授与浙江大学朱兴龙研究员、上海交通大学盛政明教授联合团队报道了强场量子电动力学(QED)研究方面的最新进展,在国际上首次发现了通过电子束直接驱动固体靶高效激发多光子Breit-Wheeler(BW)过程以及由此产生稠密极化正电子束的物理现象,揭示了QED场强下束靶相互作用新机制,为高能极化正电子源的发展及应用研究奠定了基础。该研究成果以“Dense polarized positrons from beam-solid interactio...

yl7703永利集团官网物理学系、量子态构筑与测控教育部重点实验室刘灿副教授与中国科公司半导体研究所翟慎强研究员、魏钟鸣研究员、刘峰奇研究员,北京大学刘开辉教授等团队合作,提出二维界面范德华外延半导体量子点(QD)新策略,突破了传统量子点晶格匹配外延限制,实现了多类III–V族、IV–VI族本征量子点的通用制备。2024年6月4日,相关成果以“Epitaxial growth of quantum dots on van der Waals surfaces”为题,在线发表于《....

yl7703永利集团官网物理学系、量子态构筑与测控教育部重点实验室刘灿副教授与北京大学刘开辉教授、中国科公司半导体研究所魏钟鸣研究员、中国科公司深圳先进技术研究院丁峰研究员等团队合作,提出“多重界面耦合原子制造”新策略,首次实现兼具特定手性结构(包括扶手椅型、之字型及其他手性结构)及相干极化方向的二硫化钨(WS2)条带阵列的“全同”控制制造。通过系统研究手性结构与体光伏效应的对应关系,实现1000余根扶手椅型条带...

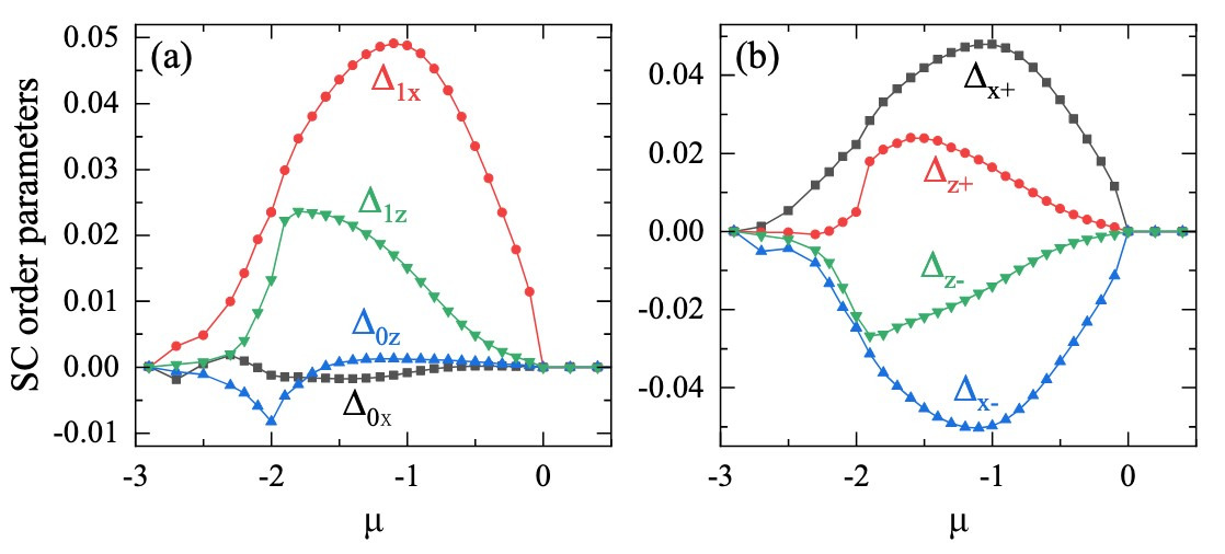
2024 年 4 月 26 日,yl7703永利贺荣强教授、卢仲毅教授团队在 Physical Review B 上发表题为 “Correlation effects and concomitant two-orbitals±-wave superconductivity inLa3Ni2O7under high pressure” 的研究。该工作基于团队自主发展的自然轨道重正化群(Natural Orbitals Renormalization Group, NORG)方法,结合动力学平均场理论(DMFT),深入研究了近期备受关注的高温超导体La3Ni2O7在高压下的电子关联...

观测到量子化输运是众多拓扑量子物态调控的基础,同时也是实现无耗散拓扑输运的关键。MnBi2Te4作为实验上发现的首个同时具有二维特性、本征磁性和拓扑能带结构的量子材料,近年来在二维材料和拓扑物态领域引起广泛关注。尽管2020年人们已经在5层和6层MnBi2Te4样品中实现了量子反常霍尔效应和轴子绝缘体态,然而实验上制备量子化器件的成功率一直较低,特别是微纳加工如何影响拓扑输运一直未被明确。许多研究组在零场下甚至观测....

电磁波(比如激光)在等离子体中的传输是等离子体物理的一个基本问题。一般情况下,电磁波无法在高密度(overdense)等离子体中传输,但是其传输和能量传递在快点火激光聚变、激光粒子加速、以及超短超亮辐射源等应用中均起着关键作用。1996年,斯坦福大学的S. E. Harris教授受原子物理中电磁感应透明概念(Electromagnetically Induced Transparency, EIT)的启示,提出了等离子体中的电磁感应透明(EIT)机制,即在一束高频激...