针对近年新发现的Ruddlesden-Popper(RP) 镍基非常规超导家族,yl7703永利贺荣强教授、卢仲毅教授团队及其合作者,利用第一性原理密度泛函理论以及动力学平均场理论,针对RP镍基材料的超导机制,关联电子结构以及自旋涨落等进行了一系列的理论研究。
核心发现:
·澄清非常规超导本质
·明确电子关联性来源
·描述关联电子结构
·总结镍基超导的规律
·预言新的镍基高温超导
电声耦合计算表明高压双层La3Ni2O7中的电声耦合很弱,不足以诱导近80 K的超导转变温度,澄清了其属于非常规超导,解决了早期实验上存在的争议。

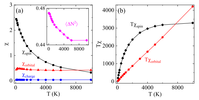
通过DFT+DMFT计算,在双层La3Ni2O7中高自旋组态具有较大的权重;通过对虚时自旋关联函数的分析,发现体系在高温处于自旋冻结相,低温下则表现为相干费米液体;自旋磁化率在高温情况下展示出 Curie-Weiss 行为,而轨道磁化率则保持 Pauli 顺磁行为。这些结果说明La3Ni2O7时一种典型的Hund金属,为RP镍基超导的机理提供了重要的理论参考。

理论计算得到的单层-三层交错堆叠的La3Ni2O7以及双层La3Ni2O7薄膜的电子结构与实验常压APRES结果吻合较好。鉴于高压ARPES实验的困难,DFT+DMFT计算结果填补了这一重要的缺失。


进一步研究发现加压或空穴掺杂可以有效地增强RP镍基材料的准粒子权重以及自旋涨落。同时将绝大多数目前实验已经合成的RP镍基材料总结轨道相图中,发现超导相出现在磁有序相和费米液体相之间。


基于提出的相图,预言了一种潜在的镍基高温超导体——双层-三层交错堆叠的La7Ni5O17。

相关文献列表:
[1] Absence of electron-phonon coupling superconductivity in the bilayer phase of La3Ni2O7under pressure,npj Quantum Mater.9, 80 (2024).
https://doi.org/10.1038/s41535-024-00689-5
[2] Hund electronic correlation in La3Ni2O7 under high pressure, Phys. Rev. B109, 115114 (2024).
https://doi.org/10.1103/PhysRevB.109.115114
[3] DFT + DMFT study of correlated electronic structure in the monolayer-trilayer phase of La3Ni2O7,Phys. Rev. B111, 125111 (2025).
https://doi.org/10.1103/PhysRevB.111.125111
[4]Phase diagrams and two key factors to superconductivity of Ruddlesden-Popper nickelates,Phys. Rev. B112, 045127 (2025).
https://doi.org/10.1103/1412-nfzm