2025年3月31日,yl7703永利贺荣强教授、卢仲毅教授团队联合中国工程物理研究院黄理研究员,在npj Computational Materials上发表题为“Ab initio dynamical mean field theory with natural orbitals renormalization group impurity solver”的研究论文。该工作开发了一套全新的从头算多体计算工具包 Zen,将密度泛函理论(DFT)与动力学平均场理论(DMFT)相结合,并集成了自然轨道重正化群(NORG)杂质求解器,实现了对强关联d电子材料电子结构的高精度描述。

核心发现:
·全新开源DFT+DMFT工具包:Zen支持两类局域轨道(投影局域轨道PLO与最大局域化Wannier函数MLWF),对接VASP和Quantum ESPRESSO,并提供NORG与CT-HYB两种互补方法的量子杂质求解器。
·零温NORG杂质求解器:NORG方法以自然轨道为基础,通过迭代重正化群构建最优子空间,无费米符号问题,可在零温下精确求解多轨道杂质模型,与有限温度CT-HYB求解器形成互补。
·三类典型强关联材料的系统验证:关联金属SrVO3、非常规超导体La3Ni2O7、Mott绝缘体MnO,计算结果与已有实验和理论高度一致。
过渡金属氧化物、铜基和铁基高温超导体、重费米子体系等强关联材料中,电子间的库仑相互作用远大于其动能,经典能带理论难以描述其丰富的量子多体效应(如Mott绝缘体转变、非费米液体行为、近藤效应等)。动力学平均场理论(DMFT)将晶格模型映射为自洽的量子杂质模型,是目前研究强关联体系最成功的方法之一。将DMFT与第一性原理DFT计算相结合的DFT+DMFT方法已成为研究真实强关联材料的主流手段。然而,现有开源DFT+DMFT软件包大多依赖基于量子蒙特卡洛(QMC)的杂质求解器,在低温区间和非对角杂化函数等场景下存在费米符号问题。

图1:Zen工具包的DFT+DMFT自洽计算流程图
在这项工作中,作者开发了Zen工具包,其核心库以Julia语言编写,集成四大组件:DFT计算引擎(VASP/Quantum ESPRESSO)、DMFT引擎(Fortran 90)、量子杂质求解器(iNORG + iQIST)以及解析延拓工具ACFlow。NORG求解器工作在零温(β = ∞),无符号问题,能够处理含自旋-轨道耦合和一般相互作用的多轨道杂质模型;CT-HYB求解器则适用于有限温度计算。两者互补,覆盖了从零温到高温的完整温度区间。


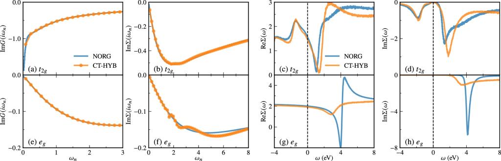
图2:SrVO3的格林函数、自能函数(上)及谱函数(下)
对于关联金属SrVO3,Zen计算的准粒子峰及下Hubbard带位置与光电子能谱实验数据高度一致,有效质量 m*/m ≈ 1.8,与此前DFT+DMFT结果吻合。NORG与CT-HYB两种求解器给出了高度一致的结果,验证了工具包的可靠性。


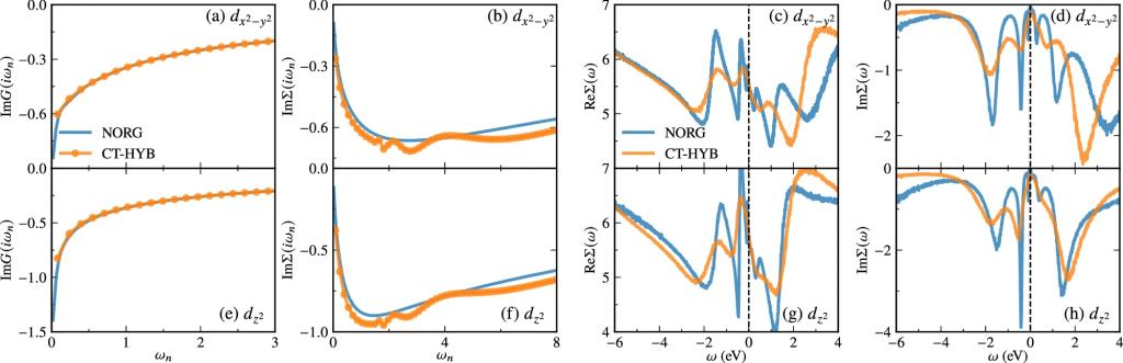
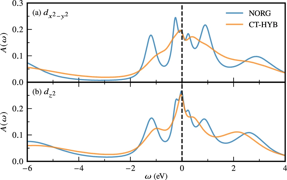
图3:La3Ni2O7的格林函数、自能函数(上)及谱函数(下)
对于高压非常规超导体La3Ni2O7(Tc可达80K),计算揭示了Ni-3d dx⟡−y⟡与dz⟡轨道的轨道选择性关联效应:dz⟡轨道关联更强,准粒子峰更窄,表现出明显的Hund金属特征和非费米液体行为。


图4:MnO的谱函数(上)及自旋态概率分布(下)
对于Mott绝缘体MnO,常压下计算的带隙约2.0 eV与实验一致;当体积压缩至V/V0=0.53时,费米面出现准粒子峰,材料转变为金属态,同时发生高自旋(S=5/2)到低自旋(S=1/2)的转变,复现了压力驱动的Mott绝缘体-金属转变。
科学意义:
·Zen 工具包完全开源并已发布于 GitHub,为强关联材料的第一性原理研究提供了可复现、可扩展的高效 DFT+DMFT 计算平台。
·NORG 求解器无费米符号问题,可在零温下高精度处理多轨道强关联杂质模型,补足 CT-HYB 等 QMC 在低温及复杂杂化情形下的局限,拓展了 DFT+DMFT 的适用范围。
·通过SrVO3、La3Ni2O7、MnO等基准测试验证方法可靠性,为易受符号问题影响的后续研究提供稳健支撑。
相关文献列表:
[1] Ab initio dynamical mean field theory with natural orbitals renormalization group impurity solver, npj Comput. Mater.11, 86 (2025).
https://doi.org/10.1038/s41524-025-01586-6
[2] Quantum renormalization groups based on natural orbitals, Phys. Rev. B89, 085108 (2014).
https://doi.org/10.1103/PhysRevB.89.085108