笼目(kagome)材料由于包含特殊的晶格结构而表现出许多新的物理性质。对于kagome金属,其一般具有非平庸的拓扑电子结构,例如Dirac点、鞍点和平带等。如果这种kagome金属还拥有长程磁序,则会出现大的反常霍尔效应、负磁阻等一系列奇异的物理现象。因此,kagome金属已成为研究关联拓扑材料中新物态和新现象的重要平台。
近期,一类新型准二维kagome体系AV3Sb5 (A = K, Rb, Cs)引起了人们的极大关注。首先,实验表明该体系在90-110 K时会有一个电荷密度波(Charge density wave, CDW)转变,而在更低温0.9-2.5 K则会发生超导转变,并且这两者有一定的相关性。另外,第一性原理计算研究表明该体系在费米面附近存在着Z2拓扑属性的非平庸能带结构和表面态。但是,相比于对CDW态和超导电性的深入研究,对这类材料的拓扑特性的实验研究还比较缺乏。
中国人民大学物理学系博士生付阳、殷蔷薇、赵宁宁等人在雷和畅教授、刘凯教授的指导下,与中科院强磁场中心的陈正博士后、朱相德研究员展开合作,并在该中心郗传英副研究员、孙玉平研究员的帮助下,开展了强磁场下CsV3Sb5单晶的量子输运物性研究,通过对Shubnikov-de Haas(SdH)量子振荡的分析以及与理论计算结果比较,揭示了CsV3Sb5的费米面上存在较小有效质量和非零贝里相位的极值轨道,这为CDW状态下CsV3Sb5中存在拓扑非平庸的电子结构提供了直接的实验证据。
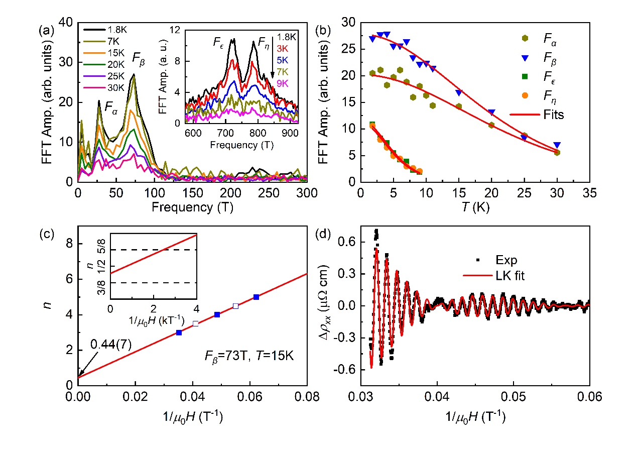
实验发现在低温下CsV3Sb5有四个SdH振荡频率Fα= 27 T, Fβ = 73 T, Fϵ = 727 T和 Fη = 786 T (图1)。通过对不同温度下的数据分析,发现四个频率都有着较小的有效质量,特别是Fα和Fβ对应的有效质量仅有0.127(8) me和0.142(4) me(me为自由电子质量)。接着通过Landau fan图的分析,可以确定Fβ对应的极值轨道的贝里相位为1.1(1)π;而对高频振荡的LK拟合也表明Fϵ对应的费米面极值轨道可能也有着非零的贝里相位,这些结果表明CsV3Sb5存在拓扑非平庸的电子结构。此外对于SdH角度依赖的研究显示(图2),实验数据能够与发生Inverse Star of David(ISD)结构畸变的理论计算结果较好地吻合(图3),并对四个振荡频率所对应的极值轨道进行了指认。这些结果表明,即使在CDW态,CsV3Sb5仍然具有拓扑非平庸的电子结构。
这一研究工作于2021年11月12日在Physical Review Letters上在线发表。该工作得到了北京市自然科学基金重点研究专题(Z200005)、国家重点研发计划(2018YFE0202600, 2017YFA0302903, 2016YFA0300504)、国家自然科学基金(11822412, 11774423, U1932217, U2032215)以及yl7703永利集团官网研究基金(18XNLG14, 19XNLG13, 19XNLG17)的资助,计算资源由yl7703永利集团官网高性能计算物理实验室和上海超算中心提供。

图1. ab面内电阻数据的分析。(a) SdH振荡数据快速傅里叶变换(FFT)频谱图的低频区和高频区。(b) FFT频谱图中各个频率的峰强随温度的变化,以及拟合曲线。(c) 15 K下,Fβ对应的Landau fan图。(d) 1.8 K时的高频振荡分量。红线表示使用双频LK公式拟合的结果。

图2. 转角测量的FFT频谱图以及理论计算与实验结果的对比。(a) 不同角度下的FFT频谱图。(b) 理论计算与实验结果的对比,实心符号和红实线是理论计算的结果,空心符号是实验的结果,蓝虚线是二维费米面的转角曲线。

图3. (a) 发生ISD结构畸变后的反折叠能带。插图为原始晶胞的第一布里渊的示意图。(b)和(c) 理论计算频率对应的费米口袋位置。
论文链接:
https://link.aps.org/doi/10.1103/PhysRevLett.127.207002